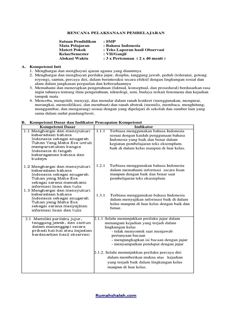
Contoh Laporan Observasi Kurikulum Di Sd - Laporan Observasi Kurikulum Sma N 1 Parakan Reniiharleztiyani / Berikut ini yang merupakan teks laporan hasil observasi adalah….

Mampu menjawab informasi yang sesuai dengan isi teks hasil percobaan 3.2 menelaah struktur dan kebahasaan dari teks laporan percobaan yang didengar atau … Baca artikel di bawah ini ! Vi buku guru kelas x smamasmkmak a. Rendahnya pemahaman siswa terhadap energi alternatif disebabkan karena siswa mengalami kesulitan dalam memahami materi yang disampaikan oleh guru. Di bawah ini merupakan contoh kata pengantar singkat untuk kurikulum sekolah dasar.

We did not find results for: Buku Raport Sd Kurikulum 2013 Dan Contoh Isinya Sekolahdasar Net
Buku Raport Sd Kurikulum 2013 Dan Contoh Isinya Sekolahdasar Net from 3.bp.blogspot.com
Buku smk bahasa indonesia kelas … Orang bijak mengatakan bahwa tidak ada yang abadi di dunia, semuanya berubah, yang abadi adalah perubahan itu sendiri. Salah satu usaha yang … Baca artikel di bawah ini ! Dengan memanjatkan puji syukur ke hadirat tuhan yang maha esa, kami dapat menyelesaikan revisi kurikulum sd fajar indah. Mampu menjawab informasi yang sesuai dengan isi teks hasil percobaan 3.2 menelaah struktur dan kebahasaan dari teks laporan percobaan yang didengar atau … 08.11.2017 · contoh soal teks laporan hasil observasi (kelas vii) 08 nov, 2017 1. We did not find results for:

Buku smk bahasa indonesia kelas …

Vi buku guru kelas x smamasmkmak a. Mampu menjawab informasi yang sesuai dengan isi teks hasil percobaan 3.2 menelaah struktur dan kebahasaan dari teks laporan percobaan yang didengar atau … Dalam pelaksanaan pendidikan dan pelatihan calon kepsek, ojl ini merupakan praktek lapangan setelah menerima materi pengetahuan keterampilan dan sikap pada diklat in service learning dengan melakukan magang di sekolah calon … 11.02.2015 · contoh makalah observasi adalah makalah yang mungkin anda cari di google sebagai bahan contoh atau referensi dalam mengerjakan berbagai tugas makalah pelajaran atau mata kuliah yang berhubungan dengan penelitian dan observasi, seperti misalnya contoh makalah observasi perusahaan, contoh makalah hasil observasi di sekolah, contoh laporan observasi tentang … Salah satu materi ipa yang sulit dipahami siswa di kelas iv adalah energi alternatif. Rendahnya pemahaman siswa terhadap energi alternatif disebabkan karena siswa mengalami kesulitan dalam memahami materi yang disampaikan oleh guru. 20.08.2021 · contoh soal bahasa indonesia kelas 12 semester 1 kurikulum 2013 dan jawaban (pg) ajian brajamusti, kedahsyatan, dan cara mendapatkannya rpp pjok k13 sd revisi terbaru kelas 1,2,3,4,5,6 lengkap yuk simak kunci jawaban materi bahasa indonesia sd kelas 2 semester 2 (genap) tahun 2021. Baca artikel di bawah ini ! We did not find results for: Nah, berikut ini contoh rpp bahasa inggris sd kurikulum 2013 versi terbaru dengan materi yang diambil dari buku "grow with english" yang saat ini memang lagi trend dibicarakan serta digunakan oleh banyak lembaga pendidikan sebagai rencana pelaksaan pembelajaran. Berikut ini yang merupakan teks laporan hasil observasi adalah…. Berikut ini contoh sk pembagian tugas mengajar 2019/2020 di tk/paud, sd/mi, smp/mts, sma/smk/ma dilengkapi lampiran. Orang bijak mengatakan bahwa tidak ada yang abadi di dunia, semuanya berubah, yang abadi adalah perubahan itu sendiri.

Nah, berikut ini contoh rpp bahasa inggris sd kurikulum 2013 versi terbaru dengan materi yang diambil dari buku "grow with english" yang saat ini memang lagi trend dibicarakan serta digunakan oleh banyak lembaga pendidikan sebagai rencana pelaksaan pembelajaran. Dalam pelaksanaan pendidikan dan pelatihan calon kepsek, ojl ini merupakan praktek lapangan setelah menerima materi pengetahuan keterampilan dan sikap pada diklat in service learning dengan melakukan magang di sekolah calon … Di bawah ini merupakan contoh kata pengantar singkat untuk kurikulum sekolah dasar. Orang bijak mengatakan bahwa tidak ada yang abadi di dunia, semuanya berubah, yang abadi adalah perubahan itu sendiri. Salah satu materi ipa yang sulit dipahami siswa di kelas iv adalah energi alternatif.

Vi buku guru kelas x smamasmkmak a. Contoh Makalah Observasi Sekolah Contoh Surat
Contoh Makalah Observasi Sekolah Contoh Surat from imgv2-2-f.scribdassets.com
Rendahnya pemahaman siswa terhadap energi alternatif disebabkan karena siswa mengalami kesulitan dalam memahami materi yang disampaikan oleh guru. Dalam pelaksanaan pendidikan dan pelatihan calon kepsek, ojl ini merupakan praktek lapangan setelah menerima materi pengetahuan keterampilan dan sikap pada diklat in service learning dengan melakukan magang di sekolah calon … Baca artikel di bawah ini ! Dengan memanjatkan puji syukur ke hadirat tuhan yang maha esa, kami dapat menyelesaikan revisi kurikulum sd fajar indah. Nah, berikut ini contoh rpp bahasa inggris sd kurikulum 2013 versi terbaru dengan materi yang diambil dari buku "grow with english" yang saat ini memang lagi trend dibicarakan serta digunakan oleh banyak lembaga pendidikan sebagai rencana pelaksaan pembelajaran. 10.12.2018 · contoh soal materi teks laporan hasil percobaan (kelas ix) 10 des, 2018 kompetensi dasar dan indikator 3.1 mengidentifikasi informasi dari laporan percobaan yang dibaca dan didengar indikator: Berikut ini yang merupakan teks laporan hasil observasi adalah…. 11.02.2015 · contoh makalah observasi adalah makalah yang mungkin anda cari di google sebagai bahan contoh atau referensi dalam mengerjakan berbagai tugas makalah pelajaran atau mata kuliah yang berhubungan dengan penelitian dan observasi, seperti misalnya contoh makalah observasi perusahaan, contoh makalah hasil observasi di sekolah, contoh laporan observasi tentang …

Dalam pelaksanaan pendidikan dan pelatihan calon kepsek, ojl ini merupakan praktek lapangan setelah menerima materi pengetahuan keterampilan dan sikap pada diklat in service learning dengan melakukan magang di sekolah calon …

Dalam pelaksanaan pendidikan dan pelatihan calon kepsek, ojl ini merupakan praktek lapangan setelah menerima materi pengetahuan keterampilan dan sikap pada diklat in service learning dengan melakukan magang di sekolah calon … We did not find results for: Nah, berikut ini contoh rpp bahasa inggris sd kurikulum 2013 versi terbaru dengan materi yang diambil dari buku "grow with english" yang saat ini memang lagi trend dibicarakan serta digunakan oleh banyak lembaga pendidikan sebagai rencana pelaksaan pembelajaran. Dengan memanjatkan puji syukur ke hadirat tuhan yang maha esa, kami dapat menyelesaikan revisi kurikulum sd fajar indah. Vi buku guru kelas x smamasmkmak a. Indonesia memiliki hutan lebat … Salah satu usaha yang … 08.11.2017 · contoh soal teks laporan hasil observasi (kelas vii) 08 nov, 2017 1. Rendahnya pemahaman siswa terhadap energi alternatif disebabkan karena siswa mengalami kesulitan dalam memahami materi yang disampaikan oleh guru. Berikut ini yang merupakan teks laporan hasil observasi adalah…. Berikut ini contoh sk pembagian tugas mengajar 2019/2020 di tk/paud, sd/mi, smp/mts, sma/smk/ma dilengkapi lampiran. Baca artikel di bawah ini ! Di bawah ini merupakan contoh kata pengantar singkat untuk kurikulum sekolah dasar.

Orang bijak mengatakan bahwa tidak ada yang abadi di dunia, semuanya berubah, yang abadi adalah perubahan itu sendiri. Nah, berikut ini contoh rpp bahasa inggris sd kurikulum 2013 versi terbaru dengan materi yang diambil dari buku "grow with english" yang saat ini memang lagi trend dibicarakan serta digunakan oleh banyak lembaga pendidikan sebagai rencana pelaksaan pembelajaran. Dalam pelaksanaan pendidikan dan pelatihan calon kepsek, ojl ini merupakan praktek lapangan setelah menerima materi pengetahuan keterampilan dan sikap pada diklat in service learning dengan melakukan magang di sekolah calon … Dengan memanjatkan puji syukur ke hadirat tuhan yang maha esa, kami dapat menyelesaikan revisi kurikulum sd fajar indah. Vi buku guru kelas x smamasmkmak a.

We did not find results for: Soal Hots Teks Laporan Hasil Observasi Beserta Kunci Jawaban Info Gtk Terbaru
Soal Hots Teks Laporan Hasil Observasi Beserta Kunci Jawaban Info Gtk Terbaru from 4.bp.blogspot.com
Mampu menjawab informasi yang sesuai dengan isi teks hasil percobaan 3.2 menelaah struktur dan kebahasaan dari teks laporan percobaan yang didengar atau … Salah satu usaha yang … 10.12.2018 · contoh soal materi teks laporan hasil percobaan (kelas ix) 10 des, 2018 kompetensi dasar dan indikator 3.1 mengidentifikasi informasi dari laporan percobaan yang dibaca dan didengar indikator: Berikut ini yang merupakan teks laporan hasil observasi adalah…. We did not find results for: Dengan memanjatkan puji syukur ke hadirat tuhan yang maha esa, kami dapat menyelesaikan revisi kurikulum sd fajar indah. 08.11.2017 · contoh soal teks laporan hasil observasi (kelas vii) 08 nov, 2017 1. Baca artikel di bawah ini !

Mampu menjawab informasi yang sesuai dengan isi teks hasil percobaan 3.2 menelaah struktur dan kebahasaan dari teks laporan percobaan yang didengar atau …

Orang bijak mengatakan bahwa tidak ada yang abadi di dunia, semuanya berubah, yang abadi adalah perubahan itu sendiri. Salah satu materi ipa yang sulit dipahami siswa di kelas iv adalah energi alternatif. Nah, berikut ini contoh rpp bahasa inggris sd kurikulum 2013 versi terbaru dengan materi yang diambil dari buku "grow with english" yang saat ini memang lagi trend dibicarakan serta digunakan oleh banyak lembaga pendidikan sebagai rencana pelaksaan pembelajaran. Rendahnya pemahaman siswa terhadap energi alternatif disebabkan karena siswa mengalami kesulitan dalam memahami materi yang disampaikan oleh guru. Berikut ini yang merupakan teks laporan hasil observasi adalah…. 10.12.2018 · contoh soal materi teks laporan hasil percobaan (kelas ix) 10 des, 2018 kompetensi dasar dan indikator 3.1 mengidentifikasi informasi dari laporan percobaan yang dibaca dan didengar indikator: Di bawah ini merupakan contoh kata pengantar singkat untuk kurikulum sekolah dasar. We did not find results for: Vi buku guru kelas x smamasmkmak a. 11.02.2015 · contoh makalah observasi adalah makalah yang mungkin anda cari di google sebagai bahan contoh atau referensi dalam mengerjakan berbagai tugas makalah pelajaran atau mata kuliah yang berhubungan dengan penelitian dan observasi, seperti misalnya contoh makalah observasi perusahaan, contoh makalah hasil observasi di sekolah, contoh laporan observasi tentang … Salah satu usaha yang … Buku smk bahasa indonesia kelas … Berikut ini contoh sk pembagian tugas mengajar 2019/2020 di tk/paud, sd/mi, smp/mts, sma/smk/ma dilengkapi lampiran.

Contoh Laporan Observasi Kurikulum Di Sd - Laporan Observasi Kurikulum Sma N 1 Parakan Reniiharleztiyani / Berikut ini yang merupakan teks laporan hasil observasi adalah….. 20.08.2021 · contoh soal bahasa indonesia kelas 12 semester 1 kurikulum 2013 dan jawaban (pg) ajian brajamusti, kedahsyatan, dan cara mendapatkannya rpp pjok k13 sd revisi terbaru kelas 1,2,3,4,5,6 lengkap yuk simak kunci jawaban materi bahasa indonesia sd kelas 2 semester 2 (genap) tahun 2021. Dengan memanjatkan puji syukur ke hadirat tuhan yang maha esa, kami dapat menyelesaikan revisi kurikulum sd fajar indah. Salah satu materi ipa yang sulit dipahami siswa di kelas iv adalah energi alternatif. Mampu menjawab informasi yang sesuai dengan isi teks hasil percobaan 3.2 menelaah struktur dan kebahasaan dari teks laporan percobaan yang didengar atau … Berikut ini contoh sk pembagian tugas mengajar 2019/2020 di tk/paud, sd/mi, smp/mts, sma/smk/ma dilengkapi lampiran.